본 내용은 '이것이 취업을 위한 코딩테스트다 with 파이썬' 책을 기반으로 포스팅 하였습니다.
그래프란?
노드(정점)와 간선(브랜치)으로 이루어진 자료구조이다.

그래프의 탐색이란?
하나의 노드를 시작으로 다수의 노드를 방문 하는 것을 말하며, 두 노드가 간선으로 연결되어 있다면 두 노드는 인접하다라고 표현한다.
간단하게 도시를 노드, 도로를 간선이라고 생각하면 이해하기 쉽다.
그래프의 종류
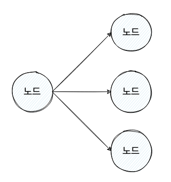
1. 방향 그래프
-. 간선에 방향이 있는 그래프로 간선 그래프 방향으로만 갈 수 있다.

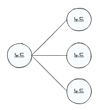
2. 무방향 그래프
-. 간선에 방향이 없는 그래프로 노드는 양방향으로 갈 수 있다.

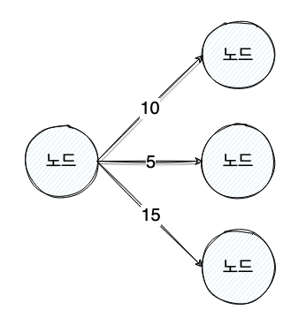
3. 가중치 그래프
-. 노드를 이동할 때 드는 비용, 또는 가중치가 할당된 그래프

4. 완전 그래프
-. 모든 노드가 간선으로 연결되어 있는 그래프

그래프의 표현
프로그래밍에서 그래프는 크게 2가지 방식으로 표현할 수 있는데, 코딩 테스트에는 아래 두 방식이 모두 필요하다.
1. 인접 행렬 - 2차원 배열로 그래프의 연결 관계를 표현하는 방식
장점 - 구현이 비교적 간단하며 2차원 배열안에 모든 간선 정보를 담고 있기 때문에 배열의 위치를 확인하면 두 점의에 대한 연결 정보를 조회할 때 O(1)의 시간 복잡도를 가진다.
단점 - 모든 정점에 대한 간선 정보를 대입해야 하므로 O(n2)의 시간 복잡도 소요, 무조건 2차원 배열이 필요하므로 필요 이상 공간이 낭비된다.

2. 인접 리스트 - 리스트로 그래프의 연결 관계를 표현하는 방식
장점 - 정점들의 연결 정보를 탐색할 때 O(n)의 시간이면 가능하다. (n: 간선의 갯수), 필요한 만큼의 공간만 사용하기 때문에 공간의 낭비가 적다.
단점 - 구현이 비교적 어려우며 특정 두 점이 연결되었는지 확인하려면 인접행렬에 비해 시간이 오래걸린다.(배열보다 검색 속도 느림)

참고 자료
https://m.blog.naver.com/occidere/220923695595
[그래프] 쉽게 쓴 그래프 알고리즘 기초 (2018.03.06 수정완료)
그래프의 정의 그래프라 하면 일반적으로 '정점(노드)'과 '간선(엣지)'으로 이루어진 자료구조를 의미한다....
blog.naver.com
https://coding-factory.tistory.com/610
[Algorithm] 자료구조 그래프(Graph)란 무엇인가?
그래프란? 그래프는 정점과 간선으로 이루어진 자료구조입니다. 정확히는 정점(Vertex)간의 관계를 표현하는 조직도라고 볼수도 있겠습니다. 그런면에서 트리는 그래프의 일종인 셈입니다. 다만
coding-factory.tistory.com
'Algorithm > 이코테' 카테고리의 다른 글
| 정렬 (0) | 2022.06.25 |
|---|---|
| DFS/BFS (0) | 2022.06.18 |
| 재귀함수 (0) | 2022.06.18 |
| 스택/큐 (0) | 2022.06.18 |
| 탐색/자료구조 (0) | 2022.06.18 |